
Une page vient de se tourner à Sanvignes à l’occasion du premier tour des élections municipales ce dimanche 15 mars 2026. Dans quelques jours, Viviane Perrin va succéder à Jean-Claude Lagrange en tant que maire.
Hier, il n’y a eu aucune surprise, la liste « Sanvignes au cœur de nos vies » conduite par la première adjointe sortante a été élue en totalité. Elle était la seule sur la ligne de départ.
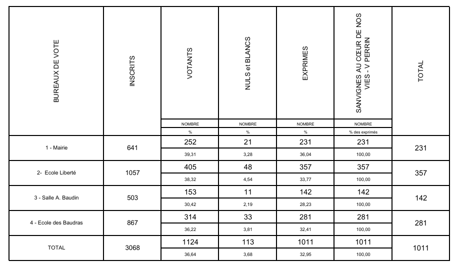
Cette élection municipale n’a pas provoquer une forte mobilisation. Sur 3068 inscrits, 1124 sont allés voter (36.64%) et on a dénombré 113 nuls et blancs.




